Официальное опубликование правовых актов
ОФИЦИАЛЬНОЕ ОПУБЛИКОВАНИЕ
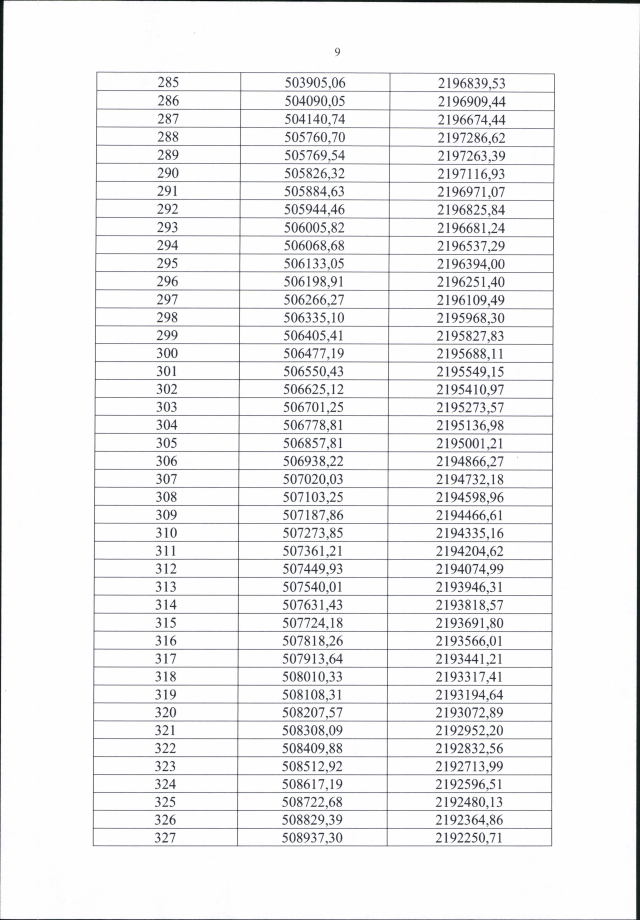
Приказ Федерального агентства воздушного транспорта от 05.06.2024 № 540-П
"О внесении изменений в приаэродромную территорию аэродрома гражданской авиации Нижний Новгород (Стригино), установленную приказом Федерального агентства воздушного транспорта от 26 октября 2023 г. № 954-П"
(Зарегистрирован 16.08.2024 № 79180)
Номер опубликования: 0001202408190005
Дата опубликования: 19.08.2024
Страница №9 из 28:
Увеличить