Официальное опубликование правовых актов
ОФИЦИАЛЬНОЕ ОПУБЛИКОВАНИЕ
Приказ Министерства промышленности и торговли Российской Федерации от 18.06.2024 № 2669
"Об установлении приаэродромной территории аэродрома экспериментальной авиации Нижний Новгород (Сормово) в составе с 1 по 6 подзону"
(Зарегистрирован 12.08.2024 № 79092)
Номер опубликования: 0001202408120016
Дата опубликования: 12.08.2024
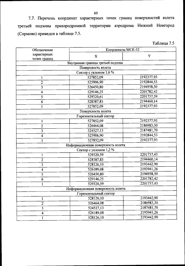
Страница №61 из 241:
Увеличить