Официальное опубликование правовых актов
ОФИЦИАЛЬНОЕ ОПУБЛИКОВАНИЕ
Приказ Министерства природных ресурсов и экологии Российской Федерации от 28.06.2024 № 415
"Об утверждении Положения о государственном природном заповеднике "Полистовский"
(Зарегистрирован 31.07.2024 № 78975)
Номер опубликования: 0001202408010004
Дата опубликования: 01.08.2024
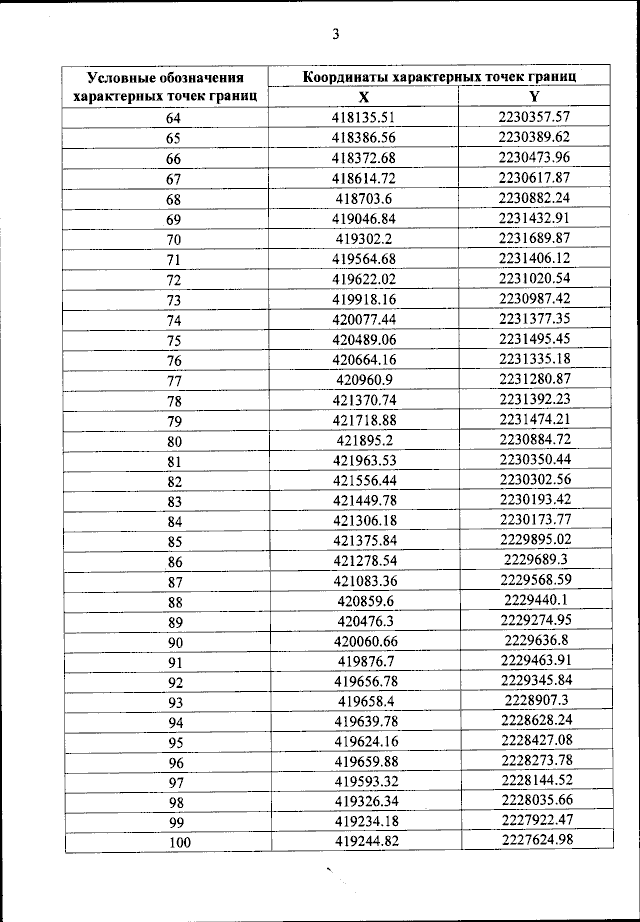
Страница №12 из 25:
Увеличить