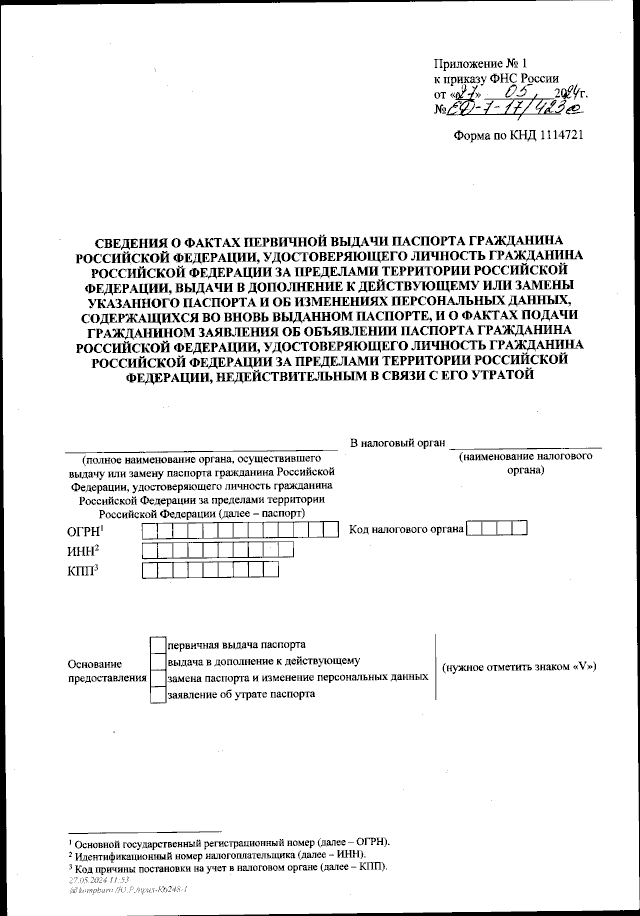
Приказ Федеральной налоговой службы от 27.05.2024 № ЕД-7-17/423@
"Об утверждении формы, порядка ее заполнения и формата представления сведений, предусмотренных пунктом 8-1 статьи 85 Налогового кодекса Российской Федерации, в электронной форме"
(Зарегистрирован 03.07.2024 № 78752)
"Об утверждении формы, порядка ее заполнения и формата представления сведений, предусмотренных пунктом 8-1 статьи 85 Налогового кодекса Российской Федерации, в электронной форме"
(Зарегистрирован 03.07.2024 № 78752)
Номер опубликования: 0001202407040008
Дата опубликования:
04.07.2024
