Официальное опубликование правовых актов
ОФИЦИАЛЬНОЕ ОПУБЛИКОВАНИЕ
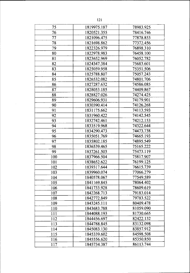
Приказ Федерального агентства воздушного транспорта от 24.05.2024 № 504-П
"Об установлении приаэродромной территории аэродрома гражданской авиации Игарка"
(Зарегистрирован 24.06.2024 № 78644)
Номер опубликования: 0001202406250004
Дата опубликования: 25.06.2024
Страница №122 из 135:
Увеличить