Официальное опубликование правовых актов
ОФИЦИАЛЬНОЕ ОПУБЛИКОВАНИЕ
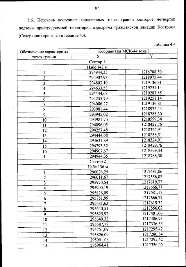
Приказ Федерального агентства воздушного транспорта от 27.02.2024 № 206-П
"Об установлении приаэродромной территории аэродрома гражданской авиации Кострома (Сокеркино)"
(Зарегистрирован 20.06.2024 № 78614)
Номер опубликования: 0001202406210012
Дата опубликования: 21.06.2024
Страница №88 из 168:
Увеличить