Официальное опубликование правовых актов
ОФИЦИАЛЬНОЕ ОПУБЛИКОВАНИЕ
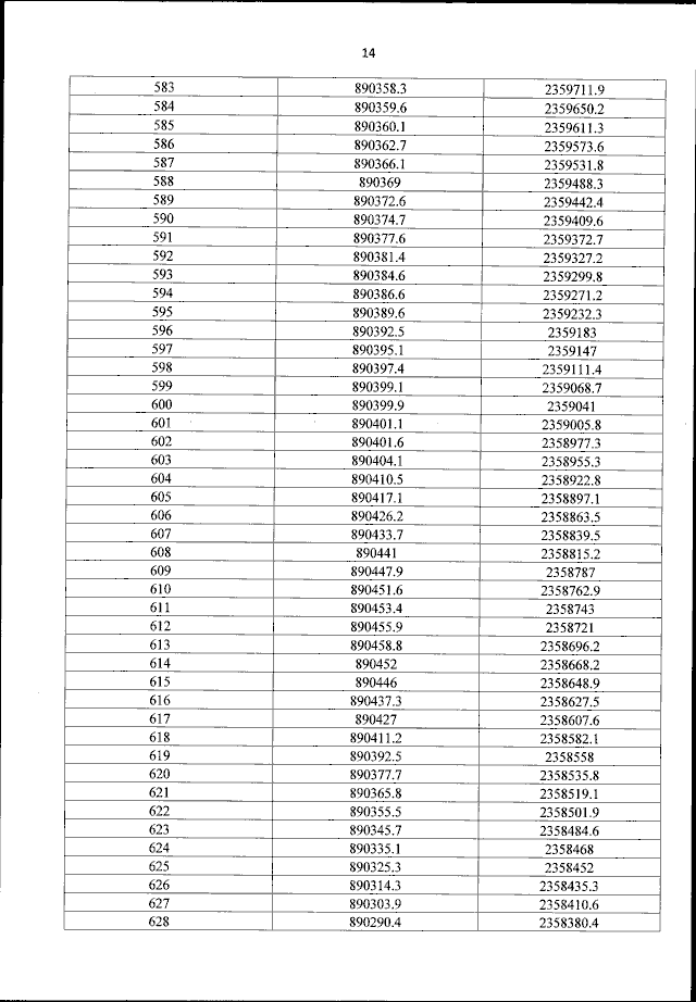
Приказ Министерства природных ресурсов и экологии Российской Федерации от 20.05.2024 № 303
"Об утверждении Положения о государственном природном заповеднике "Буреинский"
(Зарегистрирован 18.06.2024 № 78589)
Номер опубликования: 0001202406190003
Дата опубликования: 19.06.2024
Страница №23 из 332:
Увеличить