Официальное опубликование правовых актов
ОФИЦИАЛЬНОЕ ОПУБЛИКОВАНИЕ
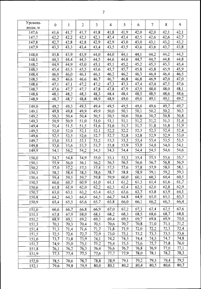
Приказ Федерального агентства водных ресурсов от 19.03.2024 № 64
"Об утверждении Правил использования водных ресурсов водохранилища Калининской АЭС"
(Зарегистрирован 18.06.2024 № 78588)
Номер опубликования: 0001202406190002
Дата опубликования: 19.06.2024
Страница №32 из 79:
Увеличить