Официальное опубликование правовых актов
ОФИЦИАЛЬНОЕ ОПУБЛИКОВАНИЕ
Приказ Министерства финансов Российской Федерации от 29.05.2024 № 70н
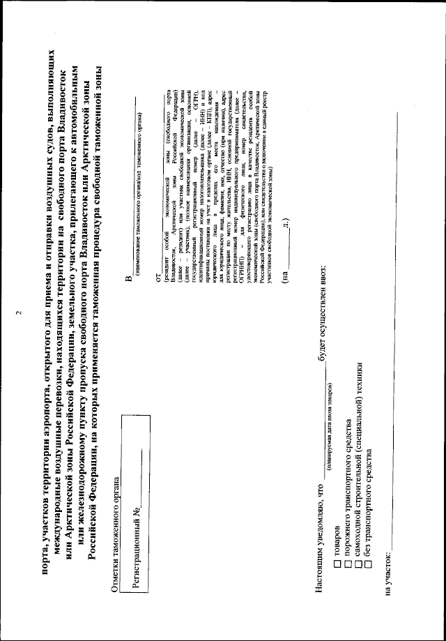
"Об утверждении Порядка и технологии совершения таможенных операций в отношении товаров, включая транспортные средства, ввозимых (ввезенных) на территории портовых особых экономических зон, на отдельные участки морских портов, расположенных в Республике Крым и городе федерального значения Севастополь, на которых применяется таможенная процедура свободной таможенной зоны, установленная для портовой особой экономической зоны, на отдельные участки морских портов, открытых для международного сообщения и захода иностранных морских судов, включая акваторию морского порта, и (или) на отдельные участки территории аэропорта, открытого для приема и отправки воздушных судов, выполняющих международные воздушные перевозки, находящиеся на территории свободного порта Владивосток или в Арктической зоне Российской Федерации, на которых применяется таможенная процедура свободной таможенной зоны, установленная для портовой особой экономической зоны, земельного участка, прилегающего к автомобильному или железнодорожному пункту пропуска свободного порта Владивосток или Арктической зоны Российской Федерации, на котором применяется таможенная процедура свободной таможенной зоны, установленная для логистической особой экономической зоны, и вывозимых с таких территорий (участков)"
(Зарегистрирован 31.05.2024 № 78424)
Номер опубликования: 0001202405310127
Дата опубликования: 31.05.2024
Страница №62 из 71:
Увеличить