Официальное опубликование правовых актов
ОФИЦИАЛЬНОЕ ОПУБЛИКОВАНИЕ
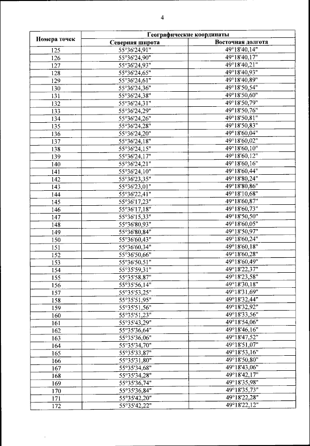
Приказ Министерства транспорта Российской Федерации от 23.04.2024 № 142
"Об утверждении пределов воздушного грузо-пассажирского постоянного многостороннего пункта пропуска через государственную границу Российской Федерации в международном аэропорту Казань"
(Зарегистрирован 27.05.2024 № 78282)
Номер опубликования: 0001202405280007
Дата опубликования: 28.05.2024
Страница №5 из 20:
Увеличить