Официальное опубликование правовых актов
ОФИЦИАЛЬНОЕ ОПУБЛИКОВАНИЕ
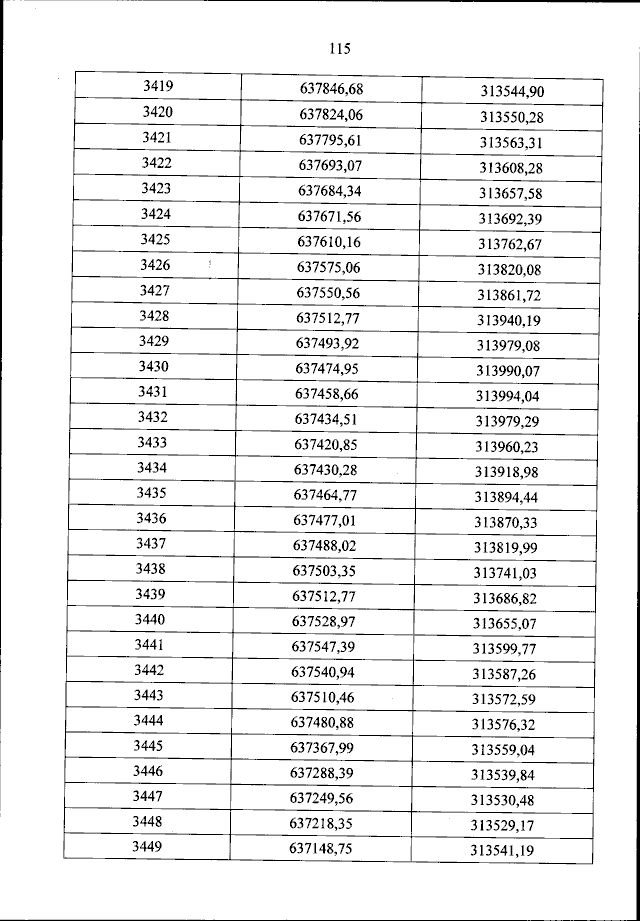
Приказ Министерства природных ресурсов и экологии Российской Федерации от 26.02.2024 № 140
"Об утверждении Положения о национальном парке "Тульские засеки"
(Зарегистрирован 21.05.2024 № 78221)
Номер опубликования: 0001202405210012
Дата опубликования: 21.05.2024
Страница №131 из 159:
Увеличить