Официальное опубликование правовых актов
ОФИЦИАЛЬНОЕ ОПУБЛИКОВАНИЕ
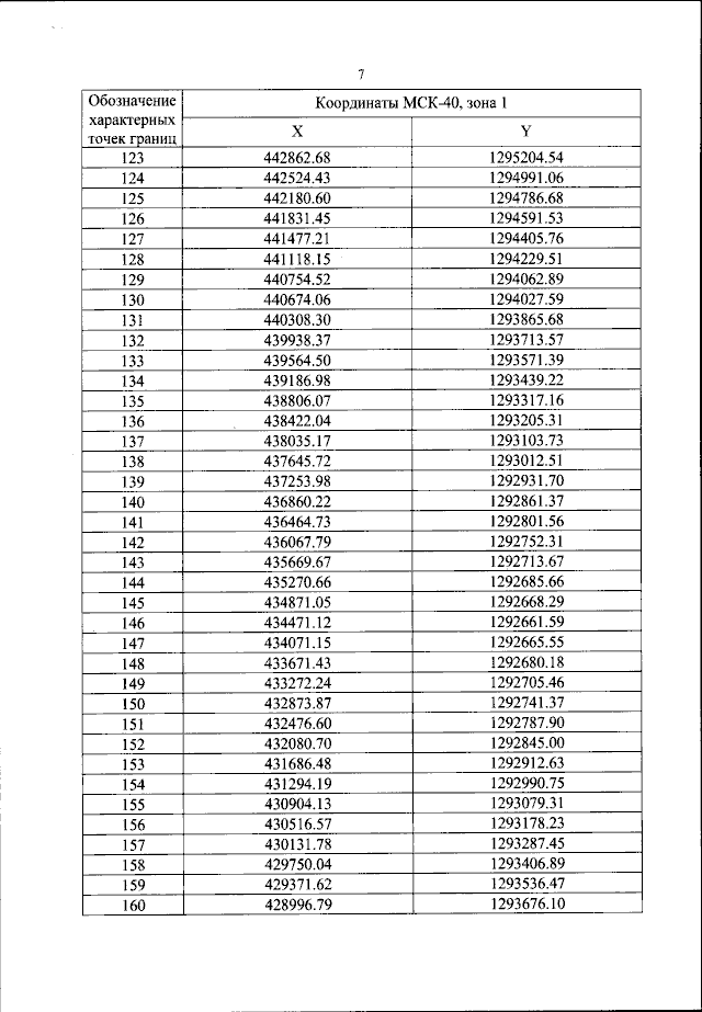
Приказ Федерального агентства воздушного транспорта от 12.04.2024 № 377-П
"Об установлении приаэродромной территории аэродрома гражданской авиации Калуга (Грабцево)"
(Зарегистрирован 20.05.2024 № 78206)
Номер опубликования: 0001202405210001
Дата опубликования: 21.05.2024
Страница №8 из 380:
Увеличить