Официальное опубликование правовых актов
ОФИЦИАЛЬНОЕ ОПУБЛИКОВАНИЕ
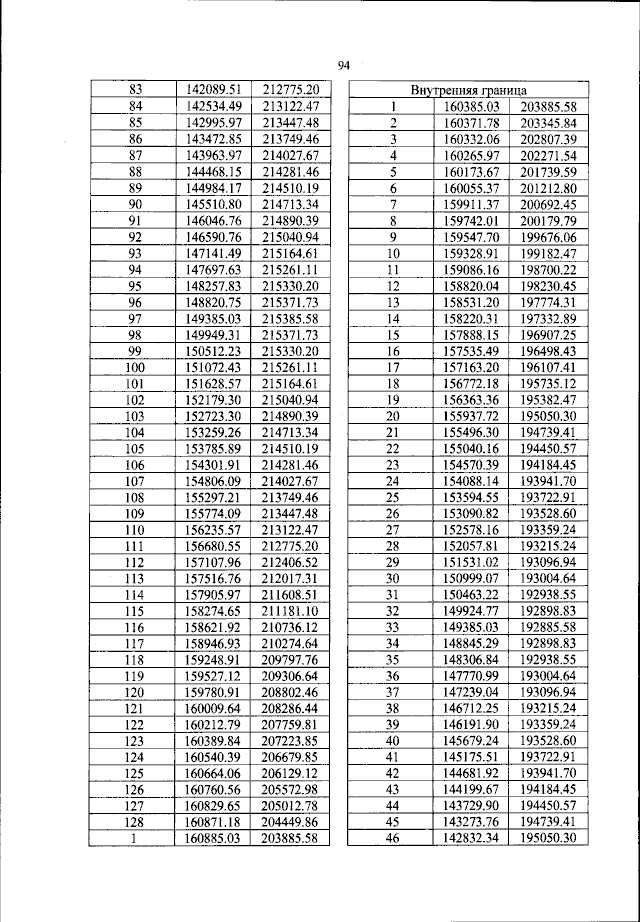
Приказ Федерального агентства воздушного транспорта от 11.04.2024 № 375-П
"Об установлении приаэродромной территории аэродрома гражданской авиации Кызыл"
(Зарегистрирован 16.05.2024 № 78180)
Номер опубликования: 0001202405170013
Дата опубликования: 17.05.2024
Страница №95 из 193:
Увеличить