Официальное опубликование правовых актов
ОФИЦИАЛЬНОЕ ОПУБЛИКОВАНИЕ
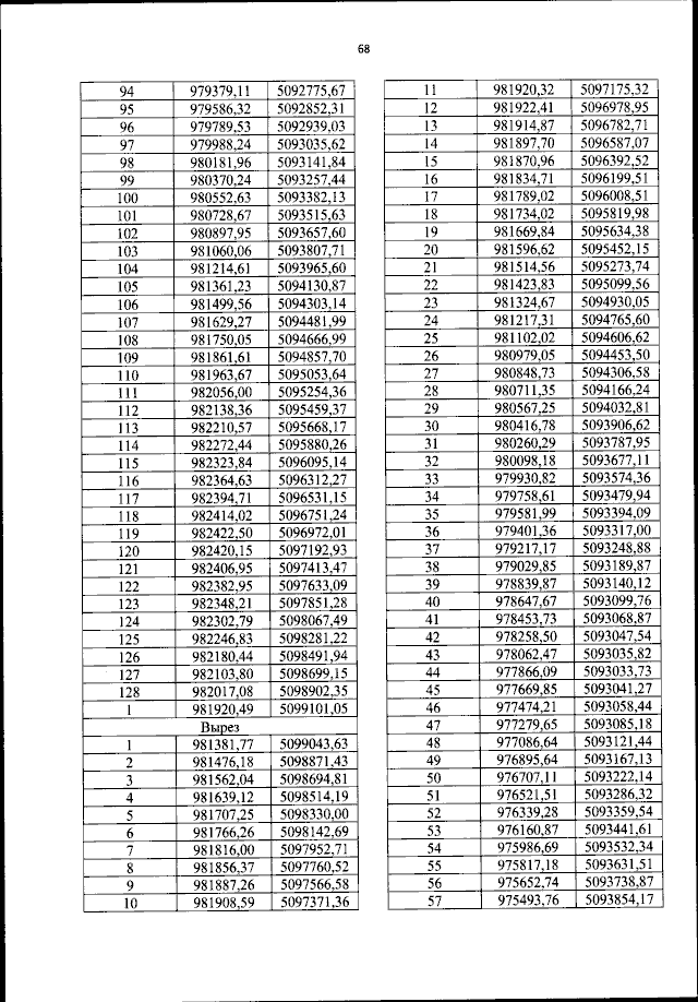
Приказ Федерального агентства воздушного транспорта от 28.03.2024 № 315-П
"Об установлении приаэродромной территории аэродрома гражданской авиации Нижнеангарск"
(Зарегистрирован 27.04.2024 № 78041)
Номер опубликования: 0001202404270017
Дата опубликования: 27.04.2024
Страница №69 из 160:
Увеличить