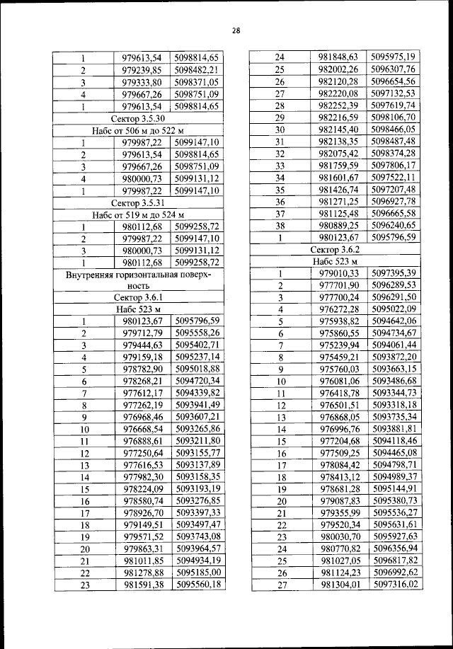
Приказ Федерального агентства воздушного транспорта от 28.03.2024 № 315-П
"Об установлении приаэродромной территории аэродрома гражданской авиации Нижнеангарск"
(Зарегистрирован 27.04.2024 № 78041)
"Об установлении приаэродромной территории аэродрома гражданской авиации Нижнеангарск"
(Зарегистрирован 27.04.2024 № 78041)
Номер опубликования: 0001202404270017
Дата опубликования:
27.04.2024
