Официальное опубликование правовых актов
ОФИЦИАЛЬНОЕ ОПУБЛИКОВАНИЕ
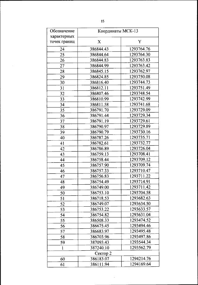
Приказ Федерального агентства воздушного транспорта от 19.03.2024 № 279-П
"Об установлении приаэродромной территории аэродрома гражданской авиации Саранск"
(Зарегистрирован 19.04.2024 № 77942)
Номер опубликования: 0001202404220018
Дата опубликования: 22.04.2024
Страница №16 из 134:
Увеличить