Официальное опубликование правовых актов
ОФИЦИАЛЬНОЕ ОПУБЛИКОВАНИЕ
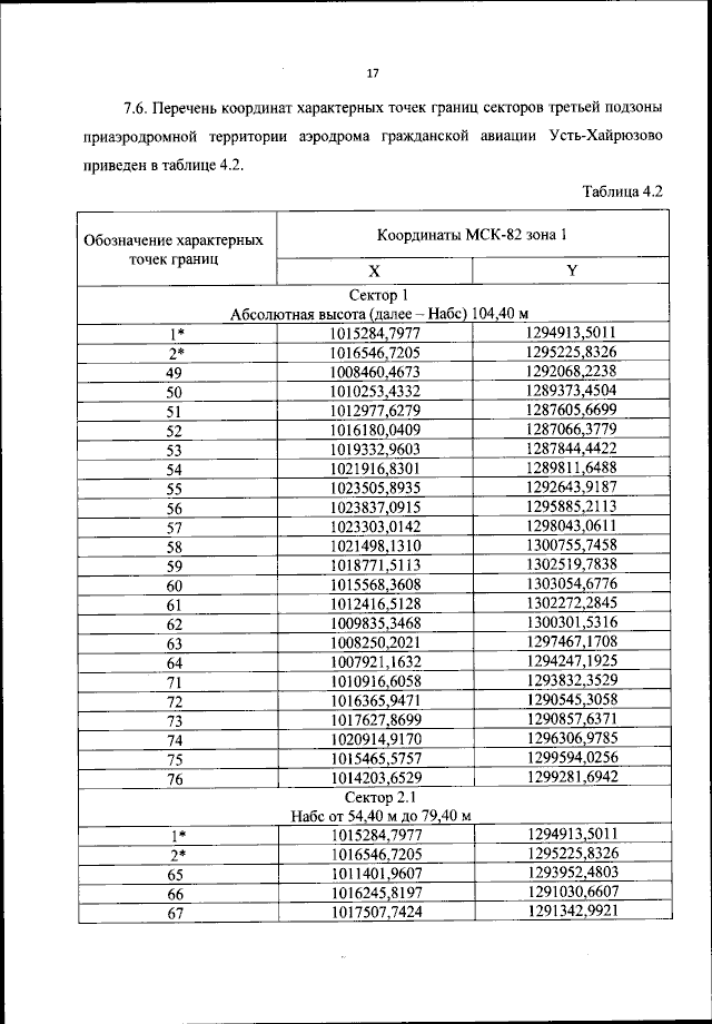
Приказ Федерального агентства воздушного транспорта от 19.03.2024 № 280-П
"Об установлении приаэродромной территории аэродрома гражданской авиации Усть-Хайрюзово"
(Зарегистрирован 22.04.2024 № 77943)
Номер опубликования: 0001202404220012
Дата опубликования: 22.04.2024
Страница №18 из 48:
Увеличить