Официальное опубликование правовых актов
ОФИЦИАЛЬНОЕ ОПУБЛИКОВАНИЕ
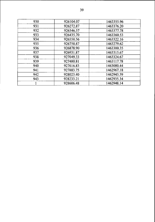
Приказ Министерства природных ресурсов и экологии Российской Федерации от 09.01.2024 № 9
"Об установлении границ охранной зоны государственного природного заповедника "Вишерский" в Республике Коми и Свердловской области, а также об утверждении Положения об охранной зоне государственного природного заповедника "Вишерский"
(Зарегистрирован 18.04.2024 № 77930)
Номер опубликования: 0001202404190007
Дата опубликования: 19.04.2024
Страница №40 из 48:
Увеличить