Официальное опубликование правовых актов
ОФИЦИАЛЬНОЕ ОПУБЛИКОВАНИЕ
Приказ Министерства культуры Российской Федерации от 18.10.2023 № 2903
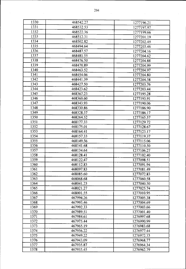
"Об утверждении границ зон охраны объекта культурного наследия федерального значения "Ансамбль Успенского монастыря", ХVI - ХVII вв. (Республика Татарстан (Татарстан), Зеленодольский муниципальный район, с. Свияжск, пл. Успенская, территория Успенского Богородицкого мужского монастыря), включенного в Список всемирного наследия, особых режимов использования земель и требований к градостроительным регламентам в границах территорий данных зон"
(Зарегистрирован 17.04.2024 № 77916)
Номер опубликования: 0001202404190003
Дата опубликования: 19.04.2024
Страница №204 из 696:
Увеличить