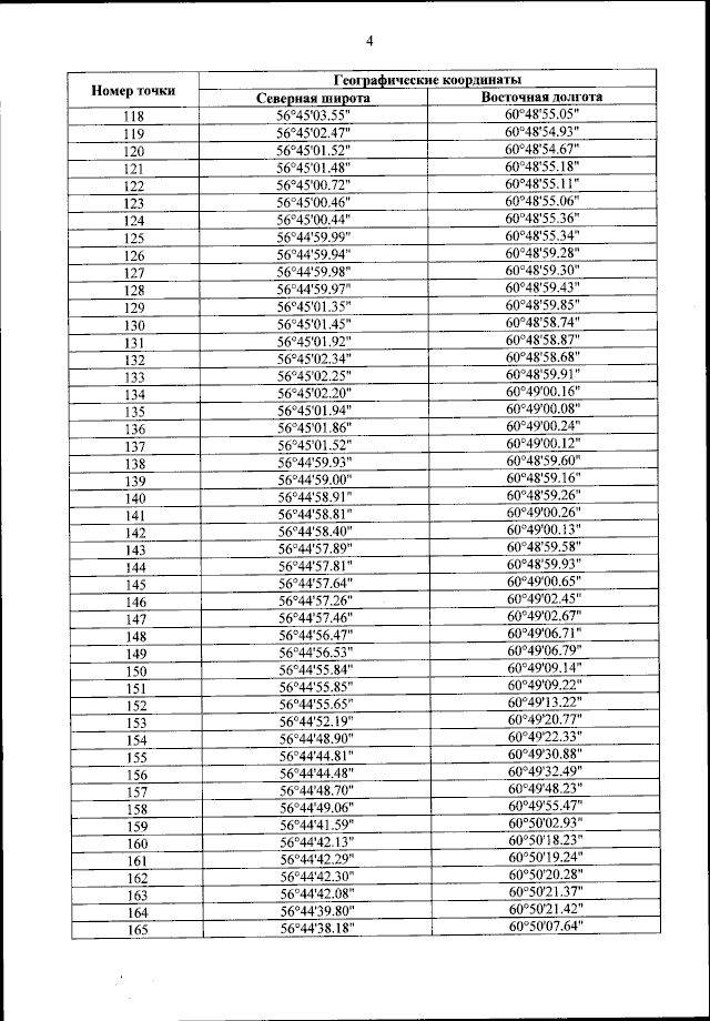
Приказ Министерства транспорта Российской Федерации от 22.03.2024 № 94
"О внесении изменений в пределы воздушного грузо-пассажирского постоянного многостороннего пункта пропуска через государственную границу Российской Федерации в международном аэропорту Екатеринбург (Кольцово), утвержденные приказом Министерства транспорта Российской Федерации от 10 октября 2016 г. № 289"
(Зарегистрирован 17.04.2024 № 77903)
"О внесении изменений в пределы воздушного грузо-пассажирского постоянного многостороннего пункта пропуска через государственную границу Российской Федерации в международном аэропорту Екатеринбург (Кольцово), утвержденные приказом Министерства транспорта Российской Федерации от 10 октября 2016 г. № 289"
(Зарегистрирован 17.04.2024 № 77903)
Номер опубликования: 0001202404180004
Дата опубликования:
18.04.2024
