Официальное опубликование правовых актов
ОФИЦИАЛЬНОЕ ОПУБЛИКОВАНИЕ
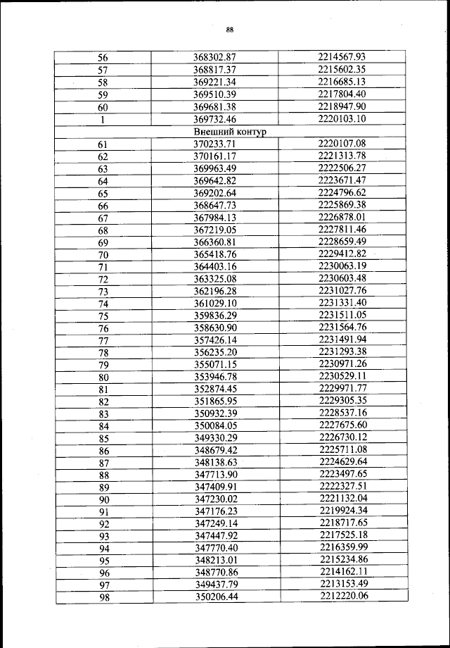
Приказ Федерального агентства воздушного транспорта от 13.03.2024 № 269-П
"Об установлении приаэродромной территории аэродрома гражданской авиации Череповец"
(Зарегистрирован 12.04.2024 № 77838)
Номер опубликования: 0001202404120012
Дата опубликования: 12.04.2024
Страница №89 из 149:
Увеличить