Официальное опубликование правовых актов
ОФИЦИАЛЬНОЕ ОПУБЛИКОВАНИЕ
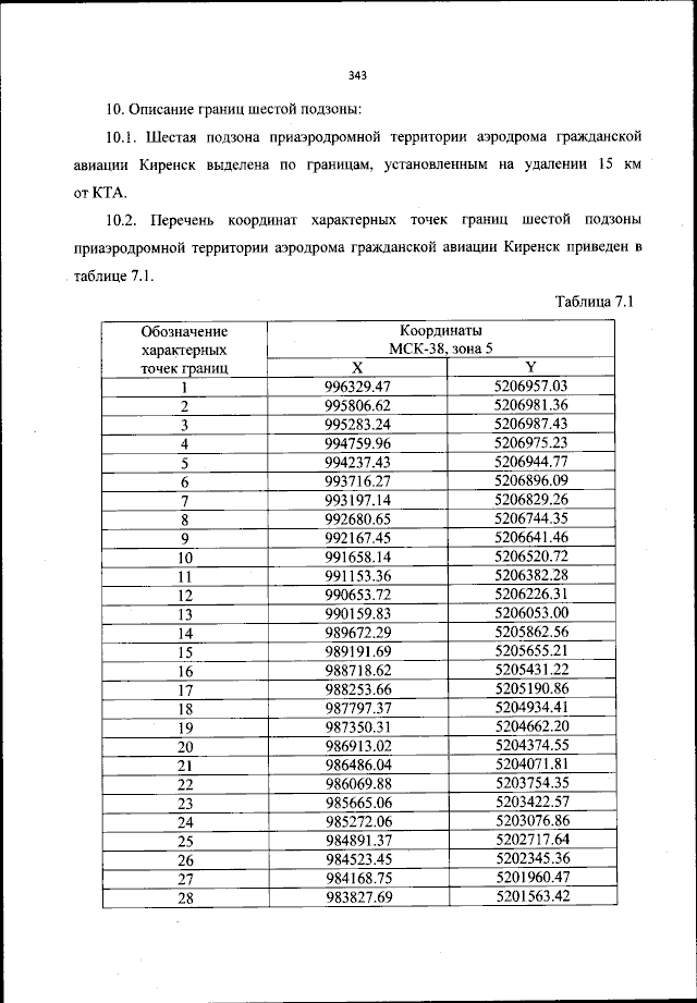
Приказ Федерального агентства воздушного транспорта от 26.02.2024 № 201-П
"Об установлении приаэродромной территории аэродрома гражданской авиации Киренск"
(Зарегистрирован 01.04.2024 № 77715)
Номер опубликования: 0001202404010023
Дата опубликования: 01.04.2024
Страница №344 из 365:
Увеличить