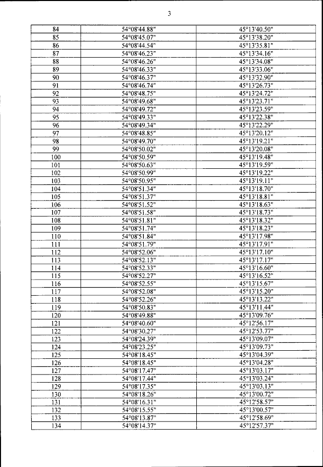
Приказ Министерства транспорта Российской Федерации от 13.02.2024 № 57
"Об открытии воздушного грузо-пассажирского постоянного многостороннего пункта пропуска через государственную границу Российской Федерации в международном аэропорту Саранск (Республика Мордовия) и об утверждении пределов данного пункта пропуска через государственную границу Российской Федерации"
(Зарегистрирован 14.03.2024 № 77505)
"Об открытии воздушного грузо-пассажирского постоянного многостороннего пункта пропуска через государственную границу Российской Федерации в международном аэропорту Саранск (Республика Мордовия) и об утверждении пределов данного пункта пропуска через государственную границу Российской Федерации"
(Зарегистрирован 14.03.2024 № 77505)
Номер опубликования: 0001202403140007
Дата опубликования:
14.03.2024
