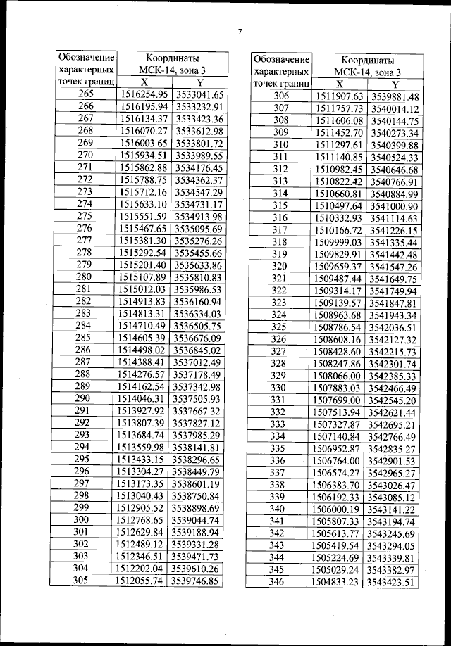
Приказ Федерального агентства воздушного транспорта от 12.02.2024 № 143-П
"Об установлении приаэродромной территории аэродрома гражданской авиации Жиганск"
(Зарегистрирован 13.03.2024 № 77502)
"Об установлении приаэродромной территории аэродрома гражданской авиации Жиганск"
(Зарегистрирован 13.03.2024 № 77502)
Номер опубликования: 0001202403140004
Дата опубликования:
14.03.2024
