Официальное опубликование правовых актов
ОФИЦИАЛЬНОЕ ОПУБЛИКОВАНИЕ
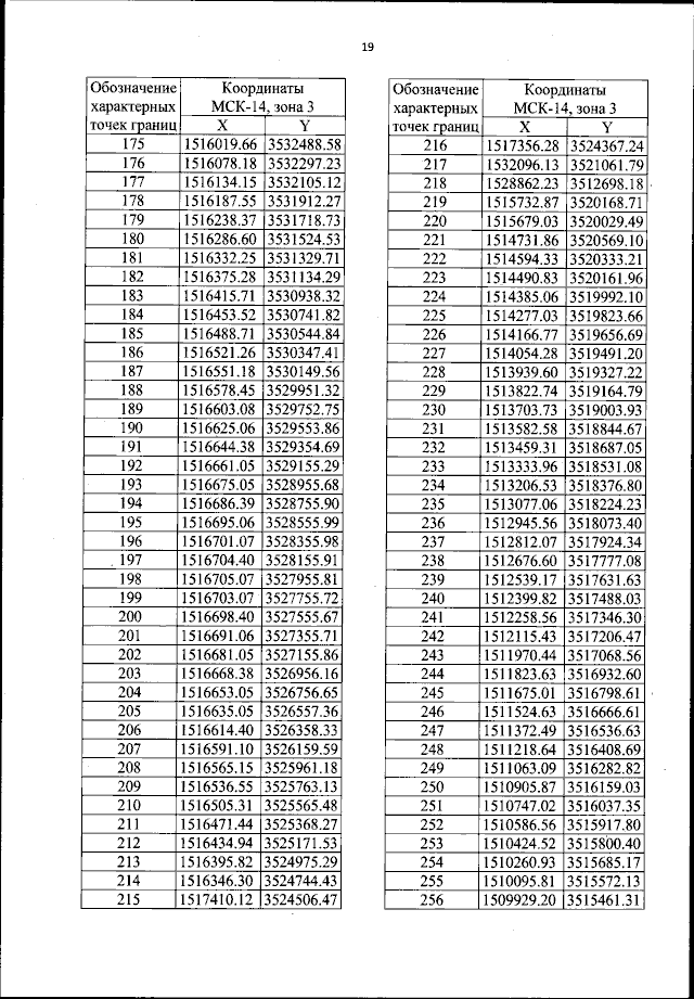
Приказ Федерального агентства воздушного транспорта от 12.02.2024 № 143-П
"Об установлении приаэродромной территории аэродрома гражданской авиации Жиганск"
(Зарегистрирован 13.03.2024 № 77502)
Номер опубликования: 0001202403140004
Дата опубликования: 14.03.2024
Страница №20 из 489:
Увеличить