Официальное опубликование правовых актов
ОФИЦИАЛЬНОЕ ОПУБЛИКОВАНИЕ
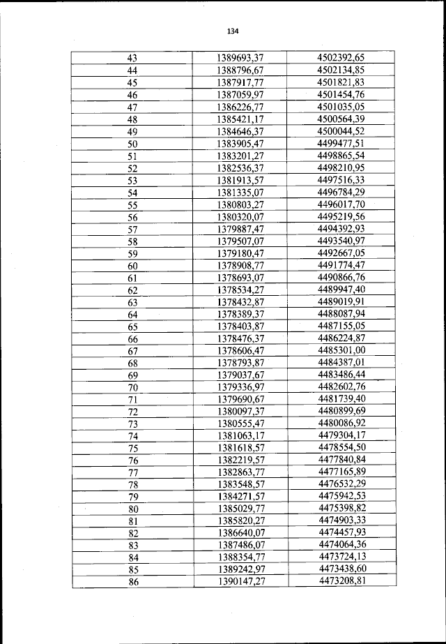
Приказ Федерального агентства воздушного транспорта от 01.02.2024 № 110-П
"Об установлении приаэродромной территории аэродрома гражданской авиации Тарко-Сале"
(Зарегистрирован 05.03.2024 № 77413)
Номер опубликования: 0001202403050004
Дата опубликования: 05.03.2024
Страница №135 из 158:
Увеличить