Официальное опубликование правовых актов
ОФИЦИАЛЬНОЕ ОПУБЛИКОВАНИЕ
Приказ Федерального агентства воздушного транспорта от 25.12.2023 № 1185-П
"Об установлении приаэродромной территории аэродрома гражданской авиации Итуруп"
(Зарегистрирован 26.02.2024 № 77338)
Номер опубликования: 0001202402270003
Дата опубликования: 27.02.2024
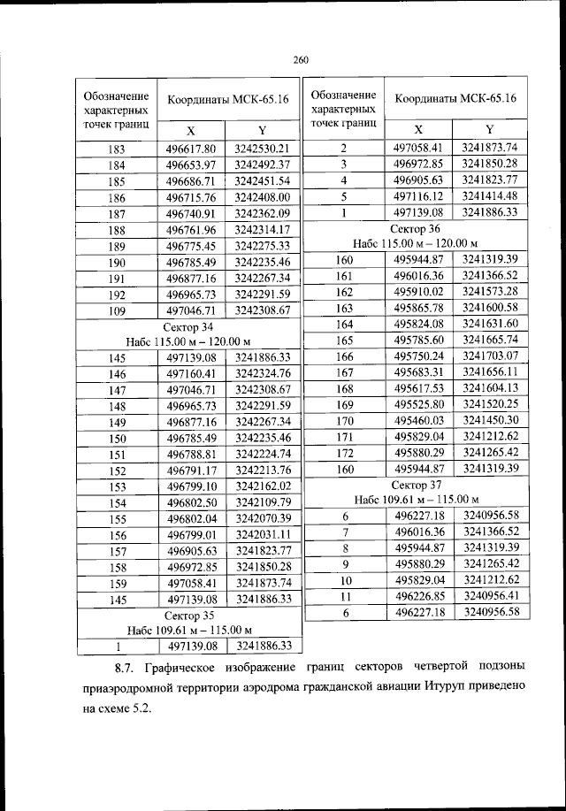
Страница №261 из 295:
Увеличить