Официальное опубликование правовых актов
ОФИЦИАЛЬНОЕ ОПУБЛИКОВАНИЕ
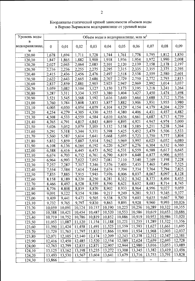
Приказ Федерального агентства водных ресурсов от 29.11.2023 № 288
"Об утверждении Правил использования водных ресурсов Верхне-Зырянского водохранилища"
(Зарегистрирован 22.02.2024 № 77333)
Номер опубликования: 0001202402260024
Дата опубликования: 26.02.2024
Страница №21 из 43:
Увеличить