Официальное опубликование правовых актов
ОФИЦИАЛЬНОЕ ОПУБЛИКОВАНИЕ
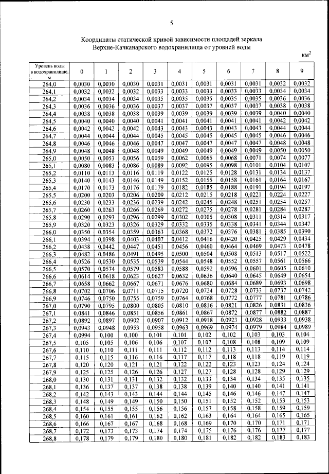
Приказ Федерального агентства водных ресурсов от 15.01.2024 № 5
"Об утверждении Правил использования водных ресурсов Верхне-Качканарского и Нижне-Качканарского водохранилищ"
(Зарегистрирован 19.02.2024 № 77302)
Номер опубликования: 0001202402210004
Дата опубликования: 21.02.2024
Страница №33 из 123:
Увеличить