Официальное опубликование правовых актов
ОФИЦИАЛЬНОЕ ОПУБЛИКОВАНИЕ
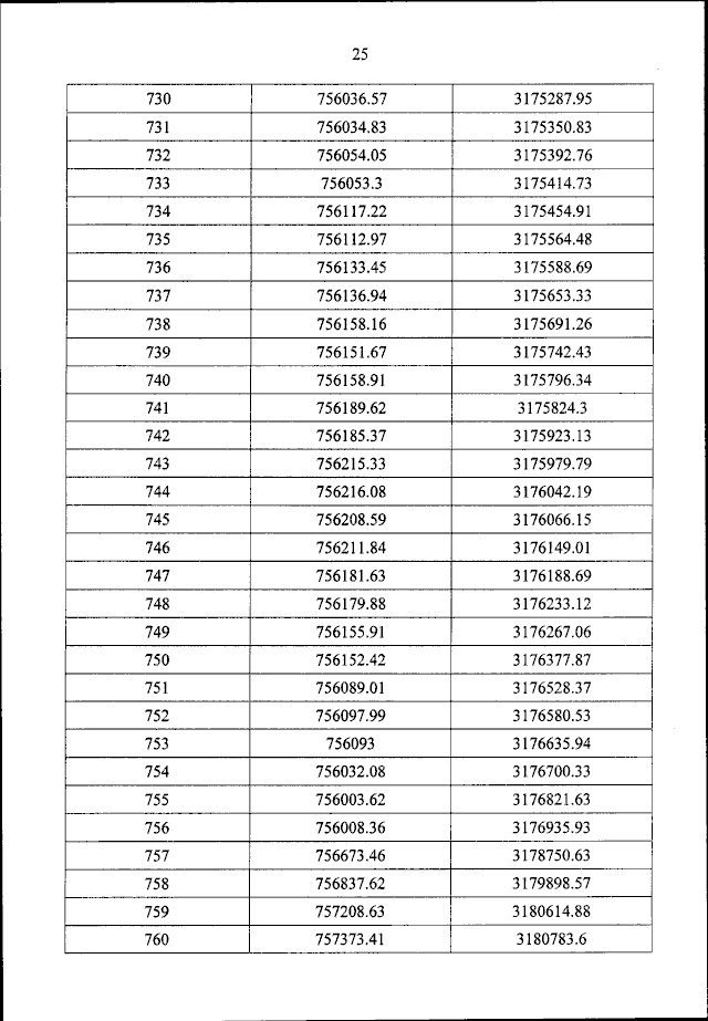
Приказ Министерства природных ресурсов и экологии Российской Федерации от 09.01.2024 № 6
"Об утверждении Положения о государственном природном заказнике федерального значения "Баджальский"
(Зарегистрирован 14.02.2024 № 77259)
Номер опубликования: 0001202402150005
Дата опубликования: 15.02.2024
Страница №33 из 67:
Увеличить