Официальное опубликование правовых актов
ОФИЦИАЛЬНОЕ ОПУБЛИКОВАНИЕ
Приказ Министерства труда и социальной защиты Российской Федерации от 15.01.2024 № 9н
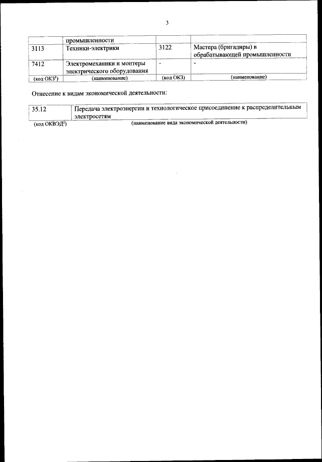
"Об утверждении профессионального стандарта "Работник по обслуживанию распределительных сетей 0,4 - 20 кВ"
(Зарегистрирован 13.02.2024 № 77241)
Номер опубликования: 0001202402140021
Дата опубликования: 14.02.2024
Страница №4 из 126:
Увеличить