Официальное опубликование правовых актов
ОФИЦИАЛЬНОЕ ОПУБЛИКОВАНИЕ
Приказ Министерства природных ресурсов и экологии Российской Федерации от 09.01.2024 № 8
"Об утверждении Положения о государственном природном заповеднике "Путоранский"
(Зарегистрирован 13.02.2024 № 77238)
Номер опубликования: 0001202402130015
Дата опубликования: 13.02.2024
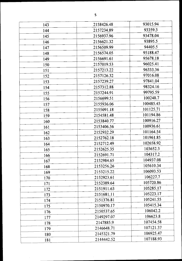
Страница №14 из 46:
Увеличить