Официальное опубликование правовых актов
ОФИЦИАЛЬНОЕ ОПУБЛИКОВАНИЕ
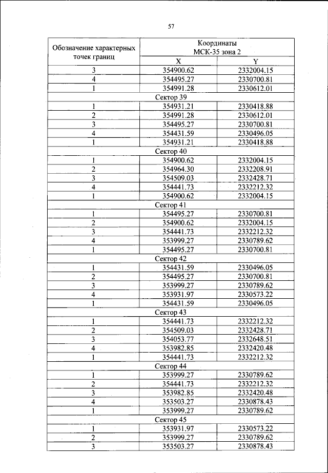
Приказ Федерального агентства воздушного транспорта от 12.01.2024 № 8-П
"Об установлении приаэродромной территории аэродрома гражданской авиации Вологда"
(Зарегистрирован 12.02.2024 № 77219)
Номер опубликования: 0001202402120010
Дата опубликования: 12.02.2024
Страница №58 из 238:
Увеличить