Официальное опубликование правовых актов
ОФИЦИАЛЬНОЕ ОПУБЛИКОВАНИЕ
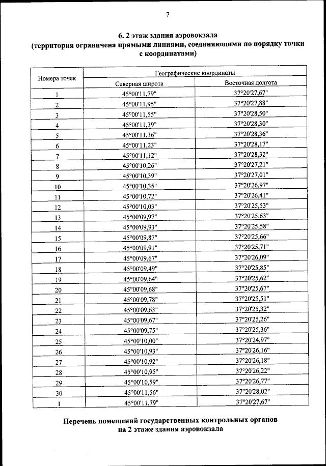
Приказ Министерства транспорта Российской Федерации от 27.11.2023 № 390
"Об открытии воздушного грузо-пассажирского постоянного многостороннего пункта пропуска через государственную границу Российской Федерации в международном аэропорту Анапа (Витязево) (Краснодарский край) и об утверждении пределов данного пункта пропуска через государственную границу Российской Федерации"
(Зарегистрирован 12.01.2024 № 76838)
Номер опубликования: 0001202401120015
Дата опубликования: 12.01.2024
Страница №9 из 12:
Увеличить