Официальное опубликование правовых актов
ОФИЦИАЛЬНОЕ ОПУБЛИКОВАНИЕ
Приказ Министерства культуры Российской Федерации от 15.12.2023 № 3376
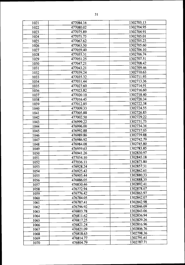
"О внесении изменений в приложение № 1 к приказу Министерства культуры Российской Федерации от 11 мая 2023 г. № 1311 "Об утверждении границ зон охраны объекта культурного наследия федерального значения "Ансамбль Казанского кремля", ХV - первая четверть ХХ вв. (Республика Татарстан (Татарстан), включенного в Список всемирного наследия, особых режимов использования земель и требований к градостроительным регламентам в границах территорий данных зон"
(Зарегистрирован 29.12.2023 № 76747)
Номер опубликования: 0001202312290081
Дата опубликования: 29.12.2023
Страница №31 из 65:
Увеличить