Официальное опубликование правовых актов
ОФИЦИАЛЬНОЕ ОПУБЛИКОВАНИЕ
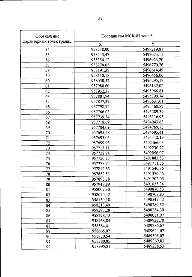
Приказ Федерального агентства воздушного транспорта от 07.12.2023 № 1114-П
"Об установлении приаэродромной территории аэродрома гражданской авиации Марково"
(Зарегистрирован 29.12.2023 № 76735)
Номер опубликования: 0001202312290026
Дата опубликования: 29.12.2023
Страница №84 из 255:
Увеличить