Официальное опубликование правовых актов
ОФИЦИАЛЬНОЕ ОПУБЛИКОВАНИЕ
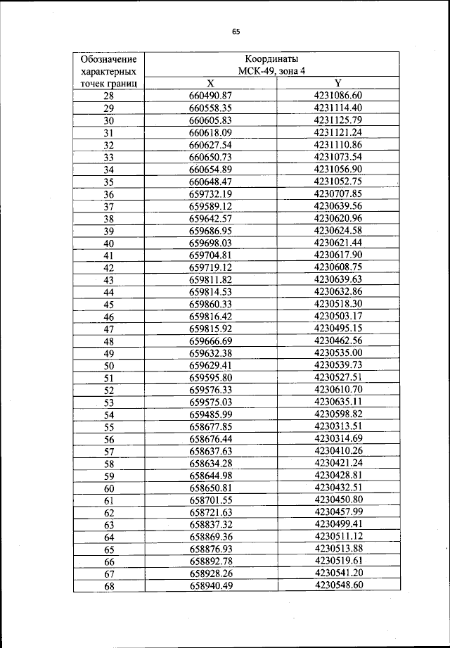
Приказ Федерального агентства воздушного транспорта от 13.12.2023 № 1141-П
"Об установлении приаэродромной территории аэродрома гражданской авиации Северо-Эвенск"
(Зарегистрирован 29.12.2023 № 76734)
Номер опубликования: 0001202312290023
Дата опубликования: 29.12.2023
Страница №66 из 78:
Увеличить