Официальное опубликование правовых актов
ОФИЦИАЛЬНОЕ ОПУБЛИКОВАНИЕ
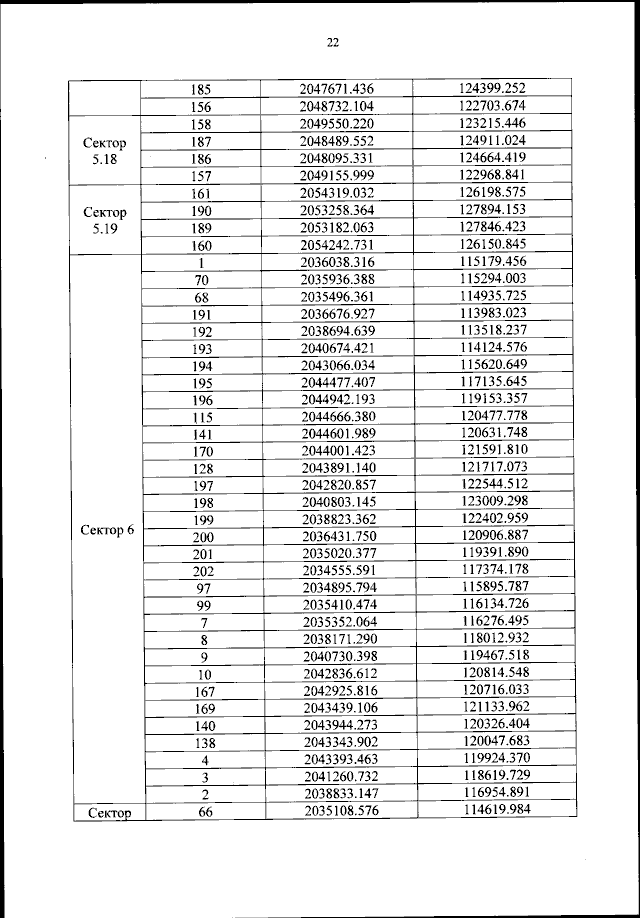
Приказ Федерального агентства воздушного транспорта от 13.12.2023 № 1140-П
"Об установлении приаэродромной территории аэродрома гражданской авиации Норильск (Алыкель)"
(Зарегистрирован 28.12.2023 № 76722)
Номер опубликования: 0001202312290014
Дата опубликования: 29.12.2023
Страница №23 из 82:
Увеличить