Официальное опубликование правовых актов
ОФИЦИАЛЬНОЕ ОПУБЛИКОВАНИЕ
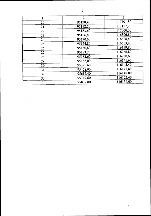
Приказ Федеральной службы охраны Российской Федерации от 18.10.2023 № 130
"Об установлении зоны охраняемых объектов (г. Санкт-Петербург, Центральный район, кадастровый квартал 78:31:0001202)"
(Зарегистрирован 13.12.2023 № 76370)
Номер опубликования: 0001202312130017
Дата опубликования: 13.12.2023
Страница №3 из 5:
Увеличить