Официальное опубликование правовых актов
ОФИЦИАЛЬНОЕ ОПУБЛИКОВАНИЕ
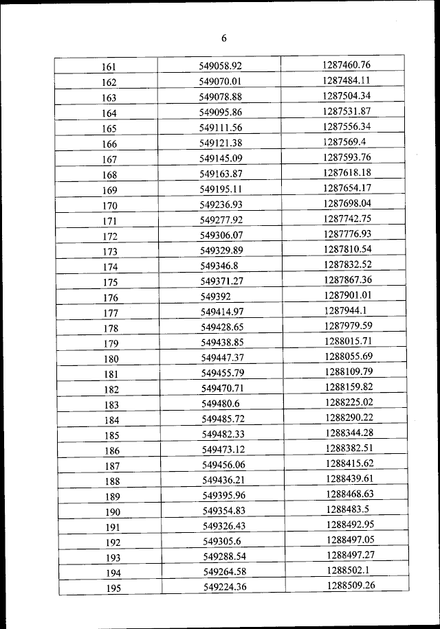
Приказ Министерства природных ресурсов и экологии Российской Федерации от 12.09.2023 № 594
"Об утверждении Положения о государственном природном заказнике федерального значения "Приазовский"
(Зарегистрирован 06.12.2023 № 76291)
Номер опубликования: 0001202312070006
Дата опубликования: 07.12.2023
Страница №15 из 39:
Увеличить