Официальное опубликование правовых актов
ОФИЦИАЛЬНОЕ ОПУБЛИКОВАНИЕ
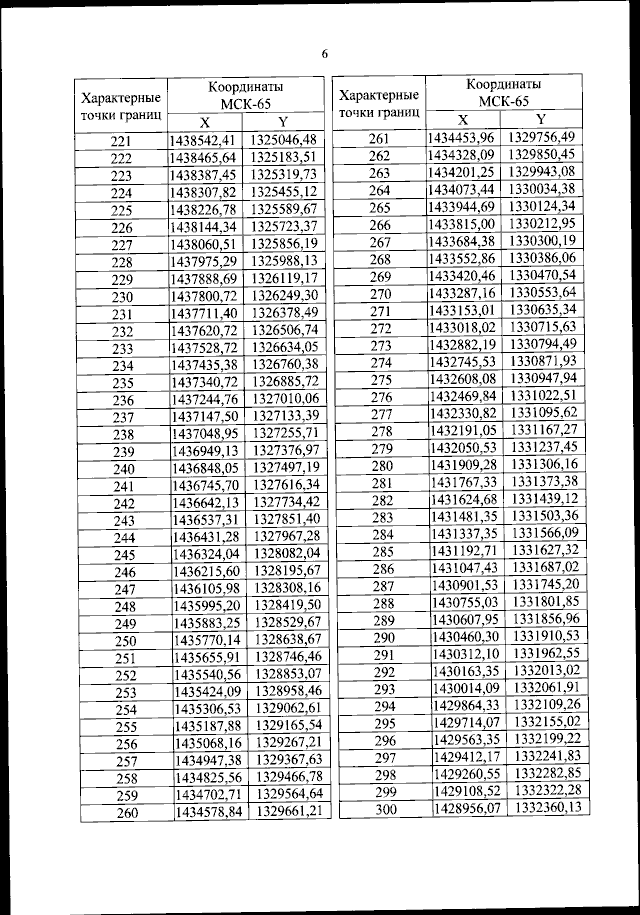
Приказ Федерального агентства воздушного транспорта от 26.10.2023 № 955-П
"Об установлении приаэродромной территории аэродрома гражданской авиации Оха (Новостройка)"
(Зарегистрирован 27.11.2023 № 76113)
Номер опубликования: 0001202311280009
Дата опубликования: 28.11.2023
Страница №7 из 673:
Увеличить