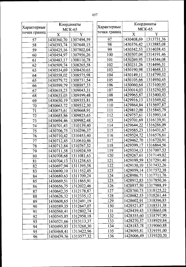
Приказ Федерального агентства воздушного транспорта от 26.10.2023 № 955-П
"Об установлении приаэродромной территории аэродрома гражданской авиации Оха (Новостройка)"
(Зарегистрирован 27.11.2023 № 76113)
"Об установлении приаэродромной территории аэродрома гражданской авиации Оха (Новостройка)"
(Зарегистрирован 27.11.2023 № 76113)
Номер опубликования: 0001202311280009
Дата опубликования:
28.11.2023
