Официальное опубликование правовых актов
ОФИЦИАЛЬНОЕ ОПУБЛИКОВАНИЕ
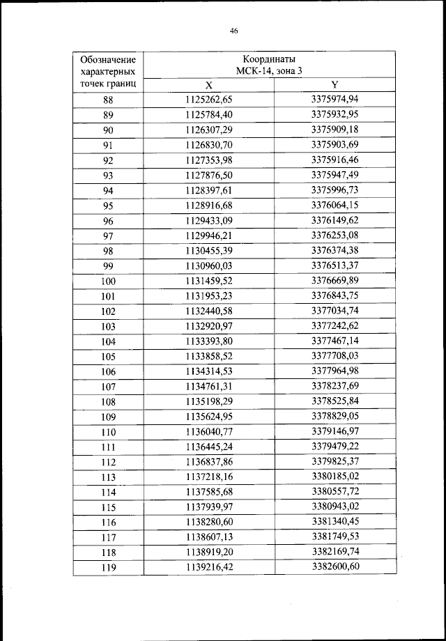
Приказ Федерального агентства воздушного транспорта от 24.10.2023 № 930-П
"Об установлении приаэродромной территории аэродрома гражданской авиации Верхневилюйск"
(Зарегистрирован 22.11.2023 № 76051)
Номер опубликования: 0001202311230009
Дата опубликования: 23.11.2023
Страница №47 из 59:
Увеличить