Официальное опубликование правовых актов
ОФИЦИАЛЬНОЕ ОПУБЛИКОВАНИЕ
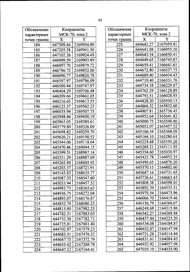
Приказ Федерального агентства воздушного транспорта от 23.10.2023 № 924-П
"Об установлении приаэродромной территории аэродрома гражданской авиации Пионерный"
(Зарегистрирован 22.11.2023 № 76050)
Номер опубликования: 0001202311220029
Дата опубликования: 22.11.2023
Страница №64 из 136:
Увеличить