Официальное опубликование правовых актов
ОФИЦИАЛЬНОЕ ОПУБЛИКОВАНИЕ
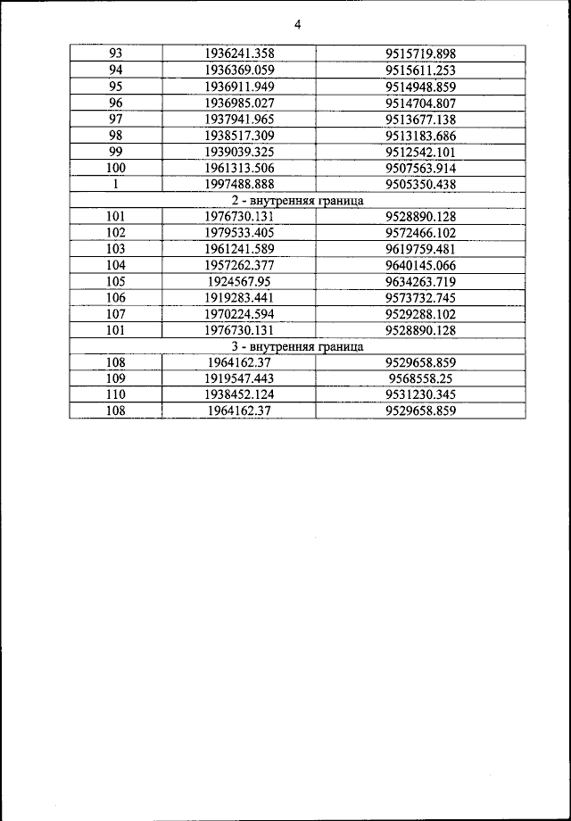
Приказ Министерства природных ресурсов и экологии Российской Федерации от 10.08.2023 № 512
"Об установлении границ охранной зоны государственного природного заповедника "Медвежьи острова" по границе с акваторией Восточно-Сибирского моря, а также об утверждении Положения о данной охранной зоне"
(Зарегистрирован 15.11.2023 № 75977)
Номер опубликования: 0001202311160014
Дата опубликования: 16.11.2023
Страница №5 из 10:
Увеличить