Официальное опубликование правовых актов
ОФИЦИАЛЬНОЕ ОПУБЛИКОВАНИЕ
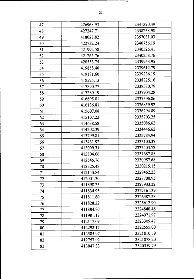
Приказ Федерального агентства воздушного транспорта от 12.10.2023 № 880-П
"Об установлении приаэродромной территории аэродрома гражданской авиации Элиста"
(Зарегистрирован 14.11.2023 № 75953)
Номер опубликования: 0001202311150003
Дата опубликования: 15.11.2023
Страница №22 из 692:
Увеличить