Официальное опубликование правовых актов
ОФИЦИАЛЬНОЕ ОПУБЛИКОВАНИЕ
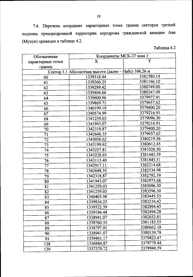
Приказ Федерального агентства воздушного транспорта от 12.10.2023 № 883-П
"Об установлении приаэродромной территории аэродрома гражданской авиации Аян (Мунук)"
(Зарегистрирован 13.11.2023 № 75938)
Номер опубликования: 0001202311140015
Дата опубликования: 14.11.2023
Страница №19 из 55:
Увеличить