Официальное опубликование правовых актов
ОФИЦИАЛЬНОЕ ОПУБЛИКОВАНИЕ
Приказ Министерства природных ресурсов и экологии Российской Федерации от 26.06.2023 № 395
"Об утверждении Положения о Забайкальском национальном парке"
(Зарегистрирован 13.11.2023 № 75926)
Номер опубликования: 0001202311130009
Дата опубликования: 13.11.2023
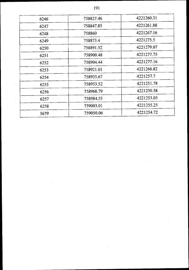
Страница №208 из 212:
Увеличить