Официальное опубликование правовых актов
ОФИЦИАЛЬНОЕ ОПУБЛИКОВАНИЕ
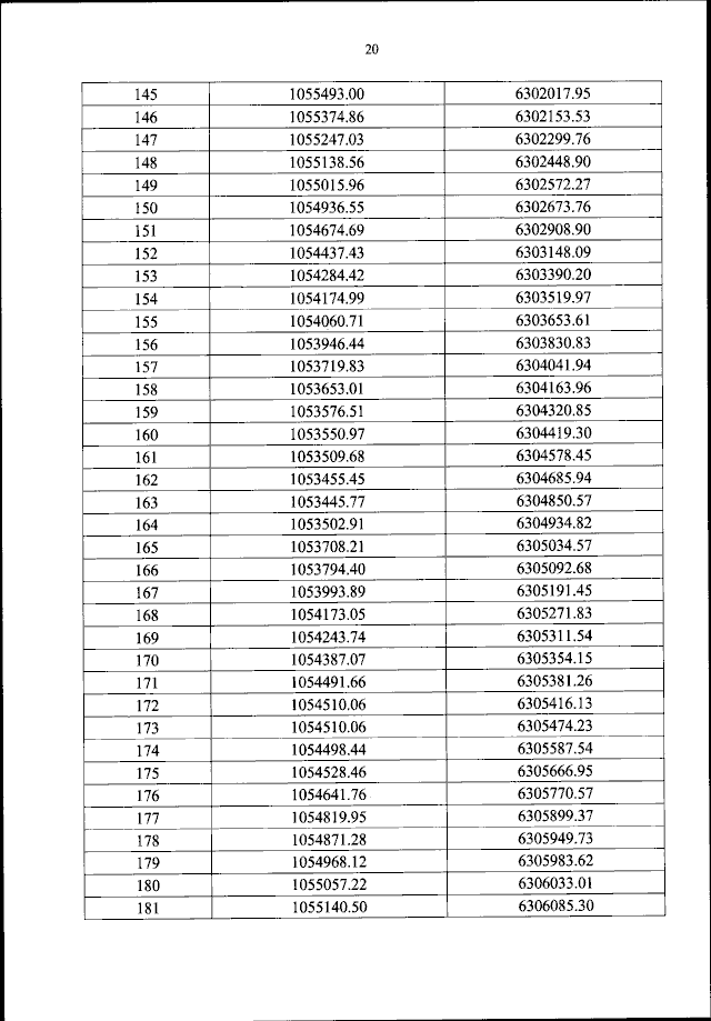
Приказ Федерального агентства воздушного транспорта от 28.09.2023 № 816-П
"Об установлении приаэродромной территории аэродрома гражданской авиации Мама"
(Зарегистрирован 26.10.2023 № 75748)
Номер опубликования: 0001202310270001
Дата опубликования: 27.10.2023
Страница №21 из 167:
Увеличить