Официальное опубликование правовых актов
ОФИЦИАЛЬНОЕ ОПУБЛИКОВАНИЕ
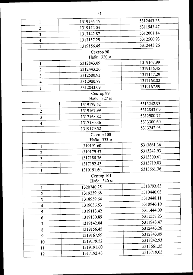
Приказ Федерального агентства воздушного транспорта от 21.09.2023 № 786-П
"Об установлении приаэродромной территории аэродрома гражданской авиации Кепервеем"
(Зарегистрирован 23.10.2023 № 75683)
Номер опубликования: 0001202310230014
Дата опубликования: 23.10.2023
Страница №43 из 162:
Увеличить